„Das unbedingte und universelle Grundeinkommen stellt keine realistische Alternative zur Reform des deutschen Sozialstaats dar.
Es erforderte einen nicht aufzubringenden Finanzaufwand, und es hätte eine offene außenwirtschaftliche Flanke. Wegen der Verringerung der Arbeitsanreize und wegen der extrem hohen Steuerlast würde es zu einem Rückgang des Bruttoinlandsprodukts und zu einer Blockade des Wirtschaftswachstums führen. Die Zieleffizienz wäre sehr gering, da ein wesentlicher Teil der Transferzahlungen von den Begünstigten selbst aufgebracht werden müsste.“
So beginnt die Zusammenfassung eines Essays von Richard Hauser, emeritierter Professor für Sozialpolitik in Frankfurt. Wenn Sie am gesamten Text interessiert sind – eine gute Übersicht über Grundsicherungen. Zugleich mache ich Interessierte darauf aufmerksam, dass am 15.12. in der taz ein Disput zur Finanzierbarkeit des Grundeinkommens zwischen Heiner Flassbeck und Wolfgang Strengmann-Kuhn erscheinen wird. Wir werden auf die Links hinweisen.
Alternativen einer Grundsicherung – soziale und ökonomische Aspekte
von Prof. Dr. Richard Hauser,
Johann Wolfgang Goethe-Universität, Frankfurt am Main
Aus: Zeitschrift Gesellschaft Wirtschaft Politik, 55. Jahrgang, 3.
Vierteljahr 2006, S. 331-348
1. Die Fragestellung
Das Sozialstaatsgebot des deutschen Grundgesetzes (Art. 20 und 28 GG) in Verbindung mit dem vom Grundgesetz (Art. 1 GG) verlangten Schutz der Menschenwürde durch den Staat erfordert die Sicherung des sozio-kulturellen Existenzminimums jedes Bürgers. In der öffentlichen Diskussion werden verschiedene Formen einer Grundsicherung diskutiert. Genannt werden beispielsweise: „Bedingungsloses Grundeinkommen“, „Kindergrundsicherung“, „Negative Einkommensteuer“, „Mindestrente“, „Mindestlohn“ oder „Kombilohn“. Dabei verstehen die Diskussionsteilnehmer nicht immer das Gleiche unter bestimmten Bezeichnungen oder sie spezifizieren die propagierte Regelung nur teilweise, so dass problematische Elemente verborgen bleiben. Als Erstes müssen wir uns daher einen Überblick über die Hauptformen einer Grundsicherung verschaffen. Dann werden die einzelnen Hauptformen einer Grundsicherung aus einzel- und gesamtwirtschaftlicher Perspektive genauer analysiert. Abschließend wird auch kurz auf ihre Vereinbarkeit mit einem Mindestlohns und einem Kombilohns eingegangen.
2. Hauptformen einer Grundsicherung
Die Hauptformen einer das sozio-kulturelle Existenzminimum gewährleistenden Grundsicherung können nach mehreren Merkmalen unterschieden werden:
- nach der Leistungshöhe
- nach ihrer Rechtsnatur;
- nach dem begünstigten Personenkreis, d. h. nach ihrem Deckungsgrad;
- nach der Einbeziehung der Empfänger in die übrigen Zweige der Sozialversicherung mit Hilfe einer Übernahme der Beiträge;
- nach den zu erfüllenden Anspruchsvoraussetzungen;
- nach der Rangfolge innerhalb der Leistungen des Systems der sozialen Sicherung;
- nach ihrer Einbeziehung in die Einkommensbesteuerung;
- nach ihrer Form der Finanzierung.
Übersicht 1: Hauptformen einer das sozio-kulturelle Existenzminimum gewährleistenden Grundsicherung
Die folgende Übersicht 1 charakterisiert anhand dieser Kriterien die wichtigsten Formen einer Grundsicherung. Dabei sind drei Merkmale nicht gesondert aufgeführt, weil sie für alle Formen gelten. Dies ist erstens eine Leistungshöhe, die ein sozio-kulturelles Existenzminimum gewährleistet. Zweitens soll ein Rechtsanspruch auf die jeweilige Leistung gegeben sein, wenn die Anspruchsvoraussetzungen erfüllt sind, d. h. dass die Leistungsgewährung nicht dem Ermessen der zuständigen staatlichen Stelle unterliegt. Drittens ist es die Finanzierung aus Steuermitteln, wobei nicht zwischen verschiedenen staatlichen Ebenen als Kostenträger unterschieden wird. Damit verbleiben fünf Hauptmerkmale.
Aufgrund der institutionellen Ausgestaltung den verschiedenen Hauptformen einer Grundsicherung kann man bereits erste Schlussfolgerungen über die Zielerreichung und die Nebenwirkungen ziehen. Nur auf Basis von detaillierten Simulationsmodellen könnte man genauere quantitative Informationen für die Reformalternativen ermitteln. Dies ist hier nicht möglich.
| Bezeichnung der Grund- sicherung |
Deck- ungs- grad |
Beiträge zu and. Sozial- ver- sicherg. |
Anspruchs- vorraus- setung |
Rang- folge |
Einbe- ziehung in die Einkom- mens- besteu- erung |
|---|---|---|---|---|---|
| 1. Einkommens- und vermögens- abhängiges Grund- einkommen von Bedarfs- gemeinschaften |
Alle Wohnsitz- bürger |
Kranken- und Plegever- sicherung; Alters- sicherung zu gering |
Wohnsitz und geringes Einkommen der Bedarfs- gemeinschaft |
nach- rangig |
nein |
| 2. Unbedingtes und universelles (bedingungsloses) Grundeinkommen | Alle Wohnsitz- bürger |
Zumindest Kranken- und Pflegever- sicherung nötig |
Geburtsschein und Wohn- berechtigung |
vor- rangig |
nein |
| 3. Unbedingtes eingeschränktes Grundeinkommen | Alte, Kinder, Erwerbs- unfähige |
Zumindest Kranken- und Pflegever- sicherung |
Geburtsschein und Wohn- berechtigung |
vor- rangig |
nein |
| 4. Negative Einkommenssteuer | Alle Wohnsitz- bürger |
Zumindest Kranken- und Pflegever- sicherung nötig |
Wohnsitz und geringes Familien- einkommen |
nach- rangig |
kombi- niert |
| 5. Einkommens- abhängiges individuelles Grundeinkommen |
Alle Wohnsitz- bürger |
Zumindest Kranken- und Pflegever- sicherung |
Wohnsitz und geringes eigenes Einkommen | nach- rangig |
nein |
Zusätzliche Annahmen: Ausreichende Höhe, Rechtsanspruch und Steuerfreiheit.
3. Die gegenwärtig gültigen institutionellen Regelungen zur Gewährleistung eines sozio-kulturellen Existenzminimums
In der ersten Zeile der Übersicht 1 ist die Ausgestaltung der gegenwärtig gültigen institutionellen Regelungen zur Gewährleistung eines sozio-kulturellen Existenzminimums in Deutschland dargestellt. Es gibt drei Grundsicherungsregelungen, die nebeneinander bestehen und gemeinsam fast universell sind: Erstens das Arbeitslosengeld II (ALG II), das allen prinzipiell erwerbsfähigen Personen zusteht, aber auch für Erwerbstätige eine Leistung zur Aufstockung eines zu niedrigen Erwerbseinkommens gewährt. Hinzu kommt Sozialgeld für nicht-erwerbsfähige Familienmitglieder der Empfänger von ALG II (geregelt im SGB II). Zweitens die Sozialhilfe in der Form der Hilfe zum Lebensunterhalt für nicht-erwerbsfähige Personen, die nicht mit einem Empfänger von Arbeitslosengeld II zusammenleben (geregelt im SGB XII). Drittens die Grundsicherung für Alte und dauerhaft Erwerbsunfähige (ebenfalls geregelt im SBG XII). Daneben bestehen noch die Kriegsopferfürsorge, die Ausbildungsförderung und die Grundsicherung für Asylbewerber nach dem Asylbewerberleistungsgesetz. Diese Regelungen sind nachrangig zu allen anderen Einkommen und Sozialleistungen der gesamten Bedarfsgemeinschaft, die ungefähr der Kernfamilie entspricht. Zur Festlegung der tatsächlichen Leistungshöhe wird der Bedarf der gesamten Bedarfsgemeinschaft nach Regelsätzen ermittelt und hiervon das Einkommen und das Vermögen (mit gewissen Ausnahmen) aller Mitglieder abgezogen. Der Regelsatz für einen Alleinstehenden beträgt € 345,00 pro Monat. Weitere Mitglieder erhalten zwischen 60 % und 80 % dieses Satzes. Außerdem werden Miete und Heizung für eine angemessene Wohnung übernommen. Wird Erwerbseinkommen erzielt, dann wird bis zu einer Höchstgrenze ein Anrechnungssatz von weniger als 100 % verwendet, so dass bis zu € 160,00 pro Monat hinzukommen können. Beiträge zur Kranken- und Pflegeversicherung werden voll übernommen, aber der Beitrag zur Gesetzlichen Rentenversicherung ist äußerst gering (berechnet auf Basis einer 400- Euro-Tätigkeit). Die Leistungen sind steuerfrei. Für Sonderbedarfe besteht weiterhin ein spezieller Zweig der Sozialhilfe. Ein einkommensabhängiges gestaffeltes Wohngeld soll auch für Niedrigeinkommensbezieher oberhalb der Mindesteinkommensschwelle überdurchschnittliche Wohnkosten reduzieren. Überdies gibt es einen einkommensabhängigen Kindergeldzuschlag für Niedrigeinkommensbezieher, sofern durch dessen Bezug die Inanspruchnahme von ALG II vermieden werden kann.
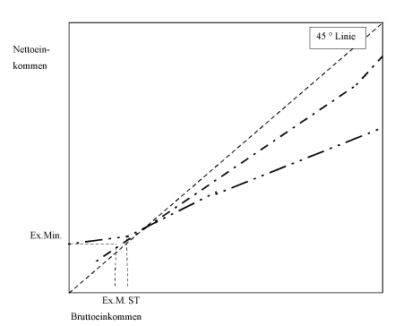
Den Zusammenhang zwischen dem Bruttoeinkommen einschließlich aller Transfers, aber ohne die Grundsicherungsleistungen kann man sich graphisch verdeutlichen.
Abbilddung 1:Gegenwärtige Grundsicherungsregelung für einen Alleinstehenden nur mit Arbeitseinkommen

Erläuterungen:
Die Strich-Punkt-Linie kennzeichnet das nach Abzug der Sozialabgaben zu versteuernde Einkommen.
Die Strich-Punkt-Punkt-Linie kennzeichnet rechts von GF das nach Abzug der Sozialabgaben und der Steuern verfügbare Nettoeinkommen, und links von GF das durch einen Grundsicherungstransfer (ALG II) aufgestockte Einkommen.
ExMin kennzeichnet das sozio-kulturelle Existenzminimum.
ST kennzeichnet den Punkt, oberhalb dessen die Besteuerung einsetzt und auch die Transfergewährung endet.
Auf der Abszisse des Koordinatensystems ist das Bruttoarbeitseinkommen eines Alleinstehenden abgetragen und auf der Ordinate das Nettoeinkommen. Würde es weder Sozialabgaben, noch Steuern und Transfers geben, so entspräche das Nettoeinkommen dem Bruttoeinkommen. Dieser Fall ist durch die 45°-Linie gekennzeichnet. Wenn nur Sozialabgaben erhoben würden, dann läge das Nettoeinkommen niedriger. Die Höhe der Sozialabgaben entspricht der senkrechten Differenz zwischen der 45°-Linie und der Strich-Punkt-Linie. Diese Strich-Punkt- Linie gibt also an, welches Nettoeinkommen (gemessen auf der Ordinate) zu welchem Bruttoeinkommen gehören würde, wenn es nur Sozialabgaben gäbe. Die senkrechte Differenz zwischen der Strich-Punkt-Linie und der Strich-Punkt-Punkt-Linie zeigt rechts vom Punkt ST die je nach Einkommenshöhe anfallende Steuerbelastung an, so dass diese Linie nunmehr das Nettoeinkommen nach Sozialabgaben und Steuern charakterisiert. Links vom Punkt ST zeigt die Strich-Punkt-Punkt-Linie das Nettoeinkommen nach Hinzukommen von Arbeitslosengeld II an. Man sieht, dass bei völlig fehlendem Arbeitseinkommen das ALG II gerade das Existenzminimum finanziert. Bei einem Arbeitseinkommen zwischen dem Nullpunkt und dem Punkt ST darf ein geringer Teil behalten werden; das übrige Nettoarbeitseinkommen wird auf das ALG II angerechnet. Wegen des Anrechnungssatzes von weniger als 100 % ergibt sich ein mit zunehmendem Bruttoeinkommen leicht ansteigender Verlauf der Strich-Punkt-Punkt-Linie. Oberhalb von ST gibt es dann kein ALG II mehr und dann setzt auch die Besteuerung des Bruttoarbeitseinkommens ein. Zu beachten ist, dass die Abbildung lediglich schematisch die Zusammenhänge aufzeigt ohne genau maßstabsgetreu zu sein.
Wie hoch ist nun das gegenwärtig durch diese Regelungen festgelegte Existenzminimum und welcher Personenkreis muss auf dessen bescheidenem Niveau kurz- oder längerfristig leben? Die durchschnittliche monatliche Leistung für Alleinstehende, die den Lebensunterhalt, angemessene Miet- und Heizkosten sowie die Sozialversicherungsbeiträge umfasst, belief sich im Juli 2005 auf 697,00 Euro. Im Juli 2005 bezogen 6,86 Millionen Personen, das sind 8,3 % aller Einwohner, Arbeitslosengeld II bzw. Sozialgeld. Hinzu kamen ca. 440.000 Empfänger der Grundsicherung im Alter und bei Erwerbsminderung sowie eine statistisch noch nicht genau ermittelte Anzahl von in der Sozialhilfe verbliebenen Empfängern (geschätzt 300.000) und etwa 260.000 nach dem Asylbewerberleistungsgesetz unterstützte Personen. Insgesamt sind dies etwa 9,5 % der Bevölkerung[1]. Hinzu kommt noch eine zur Zeit nicht genau bezifferbare Dunkelziffer, weil viele Leute die ihnen zustehende Leistungen nicht kennen oder nicht beantragen[2]. Diese Personen leben noch unterhalb des vom Gesetzgeber festgelegten Existenzminimums, das überdies von Wohlfahrtsverbänden als zu niedrig kritisiert wird.
Die Ausgaben für Arbeitslosenhilfe, Sozialhilfe und Asylbewerberhilfe betrugen im Jahr 2003, also vor den verschiedenen Reformen, 28,5 Mrd. Euro; dies waren etwa 1,3 % des Bruttoinlandsprodukts – eine bescheidene Zahl im Vergleich zum Anteil aller Sozialleistungen von 34,7 %[3]. In dieser Größenordnung lagen die Ausgaben auch im Jahr 2005. Allerdings konnte man die ursprünglich geplanten Einsparungen nicht realisieren. Auch die erhofften arbeitsmarktpolitischen Erfolge sind bisher nicht eingetreten. Die Bilanz der so genannten Hartz–Reformen ist also keineswegs überzeugend. Ob die langfristigen Auswirkungen wesentlich positiver sind, kann man erst in einigen Jahren beurteilen.
Zusammenfassend kann man feststellen: Mindestens ein Zehntel der Bevölkerung lebt für kürzere oder längere Zeit auf dem Niveau des einkommens- und vermögensabhängigen Grundeinkommen für Bedarfsgemeinschaften oder sogar von noch weniger. Dies wird längerfristig Auswirkungen auf die gesellschaftlichen Strukturen haben, die in der Öffentlichkeit und auch in der Politik noch nicht ausreichend begriffen worden sind. Damit erhebt sich die Frage, ob es bessere Modelle für ein Grundeinkommen gäbe?
4. Weitere denkbare Formen eines Grundeinkommens
4.1. Das unbedingte und universelle Grundeinkommen
Für das unbedingte und universelle Grundeinkommen, das auch als bedingungsloses Grundeinkommen bezeichnet wird (vgl. Zeile 2 der Übersicht 1) gelten die geringsten Anspruchsvoraussetzungen. Geburtsschein und Wohnsitz in Deutschland genügen, um – gewissermaßen von der Wiege bis zur Bahre – eine Sozialleistung zu erhalten, die das sozio-kulturelle Existenzminimum abdeckt. Es ist daher leicht zu verwalten. Als Größenordnung für die monatliche Leistung könnte man z.B. an € 700,00 für Erwachsene und € 400,00 für Kinder denken. Diese Beträge orientieren sich an den Durchschnittsbeträgen beim Arbeitslosengeld II. Diese Grundsicherungsleistungen umfassen auch die Beiträge zur Kranken- und Pflegeversicherung.
Das unbedingte und universelle Grundeinkommen wäre vorrangig gegenüber sonstigen Markteinkommen und weiter bestehenden Sozialleistungen, weil es unabhängig von anderen Einkommen gewährt würde. Da als Anspruchsvoraussetzung lediglich Existenz und Wohn-sitz ausreichen, würde das unbedingte und universelle Grundeinkommen auch unabhängig von der Höhe des Vermögens und von eigener Erwerbstätigkeit gezahlt. Es unterläge nicht der Einkommensteuer. Wenn das unbedingte und universelle Grundeinkommen in dieser Weise konstruiert ist, dann kann man eine vollständige Erreichung des Ziels der Sicherung eines sozio-kulturellen Existenzminimums für jeden erwarten. Es wird auch darauf hingewiesen, dass damit die Autonomie aller Einwohner gestärkt würde, da man für seinen Lebensunterhalt auf dem Niveau des Existenzminimums nicht mehr arbeiten müsse, also der „Zwang“ zur Arbeit entfiele.
Die folgende Abbildung 2 zeigt den Zusammenhang zwischen Bruttoeinkommen, Sozialabgaben, Steuerzahlungen und dem Grundeinkommenstransfer.
Die gepunktete Diagonale kennzeichnet wieder die Situation ohne Sozialabgaben, Steuern und Grundeinkommen, bei der Bruttoarbeitseinkommen und Nettoeinkommen gleich wären. Die Strich-Punkt-Linie zeigt die Situation nach Abzug der Sozialabgaben und die Strich-Strich-Linie gibt das Nettoeinkommen nach Abzug von Sozialabgaben und Steuern, aber vor dem Hinzukommen des Grundeinkommens an. Das tatsächlich verfügbare Nettoeinkommen nach Zufluss des Grundeinkommens wird durch die Strich-Punkt-Punkt-Linie charakterisiert. Man sieht, dass nur Personen ohne jegliches Arbeitseinkommen auf dem Niveau des Existenzminimums leben müssen. Wird Arbeitseinkommen bezogen, ist das tatsächlich verfügbare Nettoeinkommen deutlich höher als beim gegenwärtig gültigen einkommens- und vermögensabhängigen Grundeinkommen von Bedarfsgemeinschaften[4]. In welchem Ausmaß das selbst verdiente Arbeitseinkommen das Grundeinkommen erhöht, hängt von den Steuersätzen und
Abbilddung 2:Unbedingtes und universelles (bedingungsloses) Grundeinkommen für einen Alleinstehenden nur mit Arbeitseinkommen

Erläuterungen:
Die Strich-Punkt-Linie kennzeichnet das nach Abzug der Sozialabgaben zu versteuernde Einkommen.
Die Strich-Strich-Linie kennzeichnet das nach Abzug der Sozialabgaben und der Steuern verbleibende Einkommen.
Die Strich-Punkt-Punkt-Linie kennzeichnet das nach Abzug der Sozialabgaben und der Steuern und nach Hinzunahme des unbedingten und universellen Grundeinkommens verfügbare Nettoeinkommen.
ExMin kennzeichnet das sozio-kulturelle Existenzminimum.
BE kennzeichnet den break even point, an dem geleistete Steuerzahlung und empfangenes Grundeinkommen gleich hoch sind, der Nettotransfer also Null ist.
von der sonstigen Tarifgestaltung ab. Da das Arbeitseinkommen vom ersten Euro an zu versteuern wäre, ist der Nettotransfer (Grundeinkommen abzüglich gezahlte Steuer) bei gegebenem Steuertarif um so niedriger je höher das Arbeitseinkommen ist. Am Punkt BE, dem break even point, gleichen sich Grundeinkommen und Steuerzahlung aus, so dass der Nettotransfer Null ist. Personen, die ein Arbeitseinkommen unterhalb von BE beziehen, sind Nettobegünstigte dieses unbedingten und universellen Grundeinkommens, Personen, deren Arbeitseinkommen oberhalb von BE liegt, sind Nettobelastete. Die Nettosteuerzahlungen der Nettobelasteten oberhalb von BE müssen ausreichen, die Nettotransfers der Nettobegünstigten unterhalb von BE zu finanzieren. Dies erfordert sehr hohe Steuertarife.
Sechs Hauptprobleme gibt es bei einem unbedingten und universellen Grundeinkommen: Erstens die Koordination mit den anderen Elementen des Systems der sozialen Sicherung, zweitens den hohen erforderlichen Finanzaufwand, der durch Streichung anderer Sozialleistungen und durch Steuererhöhungen aufgebracht werden muss, drittens die Auswirkungen auf die Arbeitsbereitschaft der Erwerbsfähigen und auf die Gesamtwirtschaft, viertens die Sogwirkung auf Bürger der EU und anderer Länder, fünftens die Umverteilungswirkungen und sechstens das Problem der Zieleffizienz, d. h. ob das Schutzziel mit geringstmöglichem Mittelaufwand erreicht wird.
Grundsätzlich ist ein unbedingtes und universelles Grundeinkommen mit dem gegenwärtigen System der sozialen Sicherung vereinbar, da die Leistungen vorrangig gewährt werden. Zur Vermeidung einer Überversorgung einerseits und zur Reduzierung des Finanzaufwandes andererseits müssten jedoch möglichst viele gegenwärtig bestehende Sozialleistungen abgeschafft werden. Dies könnten alle Leistungen des Familienlastenausgleichs (Kindergeld, Erziehungsgeld, Ausbildungsförderung, Unterhaltsvorschusskasse, Kindergeldzuschlag) sowie das beitragsfinanzierte Arbeitslosengeld I und das steuerfinanzierte Arbeitslosengeld II sein. Die Abschaffung des Arbeitslosengeldes I bedeutete allerdings, dass jeder, der arbeitslos wird, sofort auf das Existenzminimum absinkt, soweit er nicht im Familienverbund zusätzliche private Transfers erhält oder Vermögenseinkommen bezieht. Die Sozialhilfe für besondere Lebenslagen, die Wohngeldregelung, die Leistungen der Gesetzlichen Krankenversicherung (ohne das Krankengeld), die Gesetzliche Pflegeversicherung und die Gesetzliche Unfallversicherung müssten bestehen bleiben, da die dadurch absicherten Risiken zusätzliche Kosten verursachen, die nicht durch das Grundeinkommen abgedeckt sind. Auch das Leistungsniveau der Gesetzlichen Rentenversicherung müsste wesentlich reduziert werden, da die Rente nur noch eine Aufstockung des Grundeinkommens darstellt.. Da die akkumulierten Rentenansprüche eigentumsähnlichen Schutz genießen, könnten sie aber nur im Lauf von Jahrzehnten wesentlich abgebaut werden. Kurzfristig lässt sich daher das Sozialbudget in Höhe von etwa 700 Mrd. Euro (2003), das sind rund 34,7 % des Bruttoinlandsprodukts, lediglich um etwa ein Drittel kürzen.
Mit einer überschlägigen Schätzung kann man sich die Größenordnung des Bruttofinanzaufwandes (nach Abzug des Finanzaufwandes für gestrichene Sozialleistungen), den das unbedingte und universelle Grundeinkommen erfordern würde, vergegenwärtigen. Bei einem monatlichen Grundeinkommen von € 700,00 für Erwachsene und € 400,00 für Kinder unter 15 Jahren[5] ergäbe sich jährliche Ausgaben von ca. 650 Mrd. Euro. Diese Summe erreicht nahezu die Höhe des gesamten Sozialbudgets von ca. 700 Mrd. Euro. Zieht man die kurzfristig zu streichenden Sozialleistungen von lediglich etwa ein Drittel des Sozialbudgets, d. h. 233 Mrd. Euro, ab, bliebe ein Bruttofinanzaufwand von etwa 417 Mrd. Euro, der durch zusätzliche Steuern aufgebracht werden müsste. Wenn die Rentenansprüche halbiert würden, könnte man auf lange Sicht weitere Einsparungen bei der Alterssicherung in einer Größenordnung von etwa 130 Mrd. Euro erreichen; dies ließe aber – zu gegenwärtigen Preisen gerechnet – immer noch eine Finanzierungslücke von 287 Mrd. Euro, die auch auf lange Sicht durch Steuererhöhungen finanziert werden müsste. Man kann sich die Größenordnung dieser Systemumgestaltung auch plausibel machen, wenn man bedenkt, dass das Volkseinkommen pro Kopf im Jahr 2004 nur etwa 19.800 Euro betrug, während das Grundeinkommen für einen Erwachsenen pro Jahr bereits 8.400 Euro, also ca. 42 % dieser Größe ausgemacht hätte[6]. Es ist kaum vorstellbar, dass derartige Steuererhöhungen wirtschaftlich und politisch durchzusetzen wären.
Weitere Probleme kämen hinzu:
Die Bereitschaft, eine Erwerbstätigkeit aufzunehmen, würde wahrscheinlich stark zurückgehen. Gruppen, bei denen man einen besonders starken Rückgang erwarten müsste, wären Langzeitarbeitslose, Frauen, die Kinder betreuen, ältere Arbeitnehmer und vermutlich auch viele Berufsanfänger. Infolge des gesicherten Existenzminimums könnten sich vermutlich auch Gewerkschaften und Arbeitgeber leichter auf eine Senkung der Bruttostundenlohnsätze einigen; dies würde wiederum die Bemessungsgrundlage für die Steuerzahlungen verringern. Außerdem würden niedrigere Stundenlohnsätze, von denen – bei leicht reduzierten Sozialabgaben – ein größerer Teil als Steuerzahlung abzuführen wäre, die Arbeitsbereitschaft nochmals dämpfen. Auf gesamtwirtschaftlicher Ebene, bei der auch die zur Finanzierung erforderlichen starken Steuererhöhungen berücksichtigt werden müssen, würde eine deutliche Schrumpfung der Produktion und des Volkseinkommens eintreten. Angesichts der zu erwartenden demographischen Probleme wäre die künftige Versorgung der Inaktiven, d. h. der Kinder und der Alten, selbst auf dem bescheidenen Niveau des sozio-kulturellen Existenzminimums stark gefährdet. Die vielfältigen gesellschaftlichen Veränderungen, die die Einführung eines unbedingten und universellen Grundeinkommens bewirken würde, lassen sich kaum abschätzen.
Eine so grundlegende Reform wie die Einführung eines unbedingten und universellen Grundeinkommens kann auch nicht ohne Rücksicht auf die internationalen Beziehungen eingeführt werden; denn Deutschland ist inzwischen in die EU-Verträge eingebunden, die eine weitgehende Mobilität der Personen und eine Exportierungspflicht der auf einem Rechtsanspruch beruhenden monetären Sozialleistungen statuieren. Selbst wenn es gelänge, das unbedingte und universelle Grundeinkommen nach dem Territorialprinzip auf Personen mit Erstwohnsitz in Deutschland zu beschränken – was rechtlich nicht gesichert ist – müsste mit einer starken Sogwirkung auf Zuwanderer aus anderen EU-Ländern und auch aus Nicht-EU-Ländern gerechnet werden; denn jeder EU-Bürger könnte sich durch Einwanderung nach Deutschland ein an den deutschen Standards orientiertes sozio-kulturelles Existenzminimum ohne jegliche Anstrengung und Gegenleistung beschaffen. Dies würde den erforderlichen Finanzaufwand nochmals wesentlich erhöhen.
Das unbedingte und universelle Grundeinkommen würde eine extrem große Umverteilung erfordern; denn nur die Steuerzahler oberhalb von BE, dem break even point, würden netto eine Steuerzahlung leisten. Sie müssten die gesamten Nettotransfers für die unterhalb von BE liegenden Personen aufbringen. Mit vielfältigen Ausweichreaktionen, z.B. Schwarzarbeit und Kapitalflucht, würden sie versuchen, die Steuerlast zu senken. Vermutlich würde auch eine starke Zurückhaltung bei den Investitionen einsetzen.
Wenn man nun noch fragt, wie es mit der Zieleffizienz eines solchen unbedingten und universellen Grundeinkommens bestellt ist, dann lautet die Antwort: Sie ist sehr gering, denn es werden viel höhere Summen umverteilt, als für die Aufstockung aller Personen, deren eigenes Einkommen unterhalb des Existenzminimums liegt, benötigt würde. Da die Nettobegünstigung weit geringer ist als die Bruttoabgaben, bewirkt dieses Grundsicherungssystem – bildlich gesprochen – eine hohe Umverteilung von der linken in die rechte Tasche derselben Individuen. Die Forderung nach Zieleffizienz wird weit verfehlt.
Alle diese Probleme zeigen, dass die Einführung eines unbedingten und universellen Grundeinkommens keine geeignete Reformalternative darstellt.
4.2. Das unbedingte und eingeschränkte Grundeinkommen
Beim unbedingten und eingeschränkten Grundeinkommen wird der Kreis der Begünstigten eingeschränkt. Unbedingt ist dieses Grundeinkommen, weil es jedem Berechtigten ohne Rücksicht auf dessen Markteinkommen, Vermögen oder andere Sozialleistungen gewährt wird. Eingeschränkt ist jedoch der Begünstigtenkreis auf Teilgruppen der Bevölkerung, die sich durch ihr Alter abgrenzen lassen und daher leicht zu identifizieren sind: Kinder unter 16 Jahre und alte Menschen über 65; denn diese Personen bestreiten ihren Unterhalt überwiegend durch private oder staatliche Transfers, so dass sie geeignete Zielgruppen eines unbedingten und eingeschränkten Grundeinkommens wären. Die Transferabhängigkeit gilt auch für Personen im mittleren Alter, wenn sie dauerhaft erwerbsunfähig sind, so dass man sie ebenfalls in den Kreis der Begünstigten aufnehmen könnte (vgl. Zeile 3 in Übersicht 1). Dieses unbedingte und eingeschränkte Grundeinkommen wäre vorrangig vor allen anderen Einkommen und würden nicht der Einkommensbesteuerung unterliegen. Auch für die hierdurch begünstigten Gruppen der Bevölkerung bedürfte es jedoch für die Fälle des Sonderbedarfs und wegen der großen Mietdifferenzen einer ergänzenden (einkommensabhängigen) Sozialhilfe und einer (einkommensabhängigen) Wohngeldregelung. Schließlich müsste auch die Beitragszahlung für die Kranken- und Pflegeversicherung übernommen werden. Ein derartiges unbedingtes und eingeschränktes Grundeinkommen kann man als ein das Existenzminimum sichernde Kindergeld bzw. als eine das Existenzminimum sichernde Volksrente bezeichnen. Das Ziel der Existenzminimumsicherung würde also nur für die genannten Bevölkerungsgruppen erreicht werden, während die mittlere Altersgruppe auf den Arbeitsmarkt oder auf Vermögenseinkommen für die Existenzsicherung verwiesen wäre. Daher könnten auch Arbeitslosengeld I und II nicht abgeschafft werden. In Bezug auf die Gesetzliche Rentenversicherung bestehen für die Gruppe der Alten die gleichen Probleme wie bei dem unbedingten und universellen Grundeinkommen, so dass zumindest für eine lange Übergangszeit mit einer starken Überversorgung zu rechnen wäre. Die Bereitschaft, im mittleren Alter erwerbstätig zu sein, würde bei einem unbedingten und eingeschränkten Grundeinkommen nicht beeinträchtigt werden. Auch der erforderliche Finanzaufwand wäre weit niedriger als für ein unbedingtes und universelles Grundeinkommen, aber er wäre sicherlich deutlich höher als die gegenwärtigen Ausgaben. Aufgrund der zur Deckung erforderlichen Steuererhöhung könnten sich negative gesamtwirtschaftliche Auswirkungen ergeben. Das Problem der Zieleffizienz wäre aber deutlich geringer, da es nur noch für eine – allerdings lange – Übergangszeit für die alte Bevölkerung bestünde. Ein kaum zu kalkulierender zusätzlicher Finanzaufwand entstünde durch die Exportierungspflicht für Kindergeld und Volksrente in jenen Fällen, in denen die Eltern der Kinder in Deutschland tätig sind, die Kinder aber im Ausland leben, und für Alte, sofern sie irgendwann in ihrem Leben irgendwelche Rentenansprüche durch Beitragszahlung in Deutschland erworben haben. Dies macht die Einführung eines auf Kinder und Alte eingeschränkten unbedingten Grundeinkommens sehr risikoreich.
Dagegen könnte eine Beschränkung des Bezieherkreises auf Kinder, d. h. ein das Existenzminimum von Kindern sicherndes Kindergeld, eine vertretbare Reformalternative darstellen, die keine zu großen Finanzierungsmittel erforderte. Wenn man bedenkt, dass im Jahr 2004 die Ausgaben für ein Kindergeld von monatlich € 154,00 ca. 29,2 Mrd. Euro betragen haben, dann würde eine Erhöhung um monatlich € 246,00 auf € 400,00 zusätzlich 46,6 Mrd. Euro erfordern. Dieser Betrag würde sich um die Ausgaben für Kinder im ALG II und in der Sozialhilfe sowie um die Ausgaben für den kindbedingt erhöhten Leistungssatz beim Arbeitslosengeld I reduzieren. Außerdem fielen auch noch Leistungen der Unterhaltsvorschusskasse weg und die Ausgaben für die Ausbildungsförderung könnten reduziert werden. Schließlich würde diese Grundsicherung für Kinder deren Beiträge zur Gesetzlichen Krankenversicherung mit enthalten, so dass auch dort eine Entlastung einträte, da Kinder bisher beitragsfrei mitversichert waren.
4.3. Die Negative Einkommensteuer
Eine weitere Alternative zur Sicherung eines Grundeinkommens für jeden ist die Einführung einer negativen Einkommensteuer. Der Grundgedanke einer radikalen Negativen Einkommensteuer besteht darin, alle steuer- und beitragsfinanzierten Sozialleistungen durch einen einzigen Transfer zu ersetzen und diese Leistungsgewährung lückenlos mit der Einkommensbesteuerung zu verbinden. Eine gemäßigte Negativen Einkommensteuer beschränkt sich auf die Ersetzung aller steuerfinanzierten Sozialleistungen sowie der beitragsfinanzierten Arbeitslosenversicherung durch eine Negative Einkommensteuer (vgl. Zeile 4 im Übersicht 1). Diese besser mit dem deutschen sozialen Sicherungssystem zu vereinbarende Variante wird hier behandelt.
Eine Negative Einkommensteuer erfordert, dass das Steuersubjekt und das Transfersubjekt identisch sind und dass die Feststellung eines bestehenden Transferbedarfs und der steuerlichen Leistungsfähigkeit nach denselben Kriterien erfolgt. Außerdem muss es einen bruchlosen Steuer-Transfer-Tarif geben. Wir unterstellen hier, dass die Kernfamilie bzw. Lebenspartner mit oder ohne Kinder gleichzeitig Steuer- und Transfersubjekt sind.
Die Negative Einkommensteuer würde ebenfalls alle Wohnsitzbürger erfassen und wäre nachrangig zu Markteinkommen und zu den beitragsfinanzierten Transfers der Gesetzlichen Rentenversicherung und anderer Alterssicherungswerke sowie der Gesetzlichen Unfallversicherung. Auch das Krankengeld könnte wegfallen, aber die Sachleistungen der Kranken- und Pflegeversicherung müssten bestehen bleiben. Beiträge zur Gesetzlichen Renten-, Kranken- und Pflegeversicherung dürfen vom zu versteuernden Einkommen abgezogen werden. Zusatzleistungen für Sonderbedarfe und extrem hohe Mietbelastungen müssen entweder in die Negative Einkommensteuer integriert werden – dann verliert sie allerdings ihre Einfachheit – oder die Sozialhilfe für Sonderbedarfe und das Wohngeldsystem müssten ebenfalls bestehen bleiben. Die folgende Abbildung 3 zeigt die Zusammenhänge zwischen Markteinkommen, Sozialabgaben, Besteuerung und Transferzahlung. Dabei ist vereinfachend eine proportionale Einkommensteuer mit einem Steuersatz von 50 % unterstellt.
Die gepunktete 45°-Linie kennzeichnet wieder die Situation ohne Sozialabgaben. Die Differenz zwischen der 45°-Linie und der Strich-Punkt-Linie stellen die Sozialabgaben dar, so dass die Strich-Punkt-Linie das Einkommen nach Abzug der Sozialabgaben, aber vor Besteuerung bzw. Transferbezug charakterisiert. Die Strich-Punkt-Punkt-Linie bezeichnet oberhalb des break-even-point BE das Nettoeinkommen nach Abzug von Sozialabgaben und Steuern. Unterhalb von BE kennzeichnet diese Linie ebenfalls das Nettoeinkommen, aber nach
Abbilddung 3:Negative Einkommensteuer für einen Alleinstehenden nur mit Arbeitseinkommen

Erläuterungen:
Die Strich-Punkt-Linie kennzeichnet das nach Abzug der Sozialabgaben der Negativen Einkommensteuer unterliegende Einkommen.
Die Strich-Punkt-Punkt-Linie kennzeichnet das verfügbare Nettoeinkommen, das sich unterhalb des break even point (BE) aus dem um Sozialabgaben verminderten Bruttoeinkommen nach Hinzunahme der ausgezahlten Negativen Einkommensteuer und oberhalb des break even point (BE) nach Abzug von Sozialabgaben und der Negative Einkommensteuer ergibt.
ExMin kennzeichnet das sozio-kulturelle Existenzminimum.
BE kennzeichnet den break even point, an dem ein vom Finanzamt ausgezahlter Transfer in eine Steuerzahlung umschlägt, Transfer- und Steuerzahlung also Null sind.
Hinzunahme des vom Finanzamt ausgezahlten Transfers, d. h. der negativen Einkommensteuer. Für Steuersubjekte bzw. Bedarfsgemeinschaften, die kein Arbeitseinkommen beziehen, entspricht das Nettoeinkommen dem Existenzminimum. Wird Arbeitseinkommen erzielt, so verbleibt dem Empfänger davon die Hälfte, da der Transfer entsprechend gekürzt wird; das Nettoeinkommen liegt also über dem Existenzminimum. Auch bei der Negativen Einkommensteuer gibt es einen break even point, an dem der Transferanspruch des Steuersubjekts genau so groß ist, wie die ermittelte Steuer. Von da an beginnt die faktische Steuerzahlung, durch die die Mittel für die Transfers aufgebracht werden müssen. Im Vergleich zum unbedingten und universellen Grundeinkommen wird also eine viel geringere Finanzmasse bewegt, da das Finanzamt lediglich die Nettotransfers auszahlt bzw. die Nettosteuer erhebt.
Der Finanzaufwand wäre zwar weit geringer als beim unbedingten universellen Grundeinkommen, aber immer noch wesentlich höher als beim gegenwärtigen System. Dies kommt vor allem dadurch zustande, dass die Berechtigung zum Transferbezug – gekennzeichnet durch den break even point – in der Einkommensverteilung wesentlich weiter nach oben reicht als beim Arbeitslosengeld II. Per Saldo dürfte auch die Belastung der Unternehmen trotz des Wegfalls der Beiträge zur Arbeitslosenversicherung stark steigen; damit würde vermutlich auch die Investitionsneigung und das Wirtschaftswachstum deutlich geschwächt.
Da die Negative Einkommensteuer nachrangig zu Markteinkommen und beitragsfinanzierten Transfers ist, gibt es kein besonderes Koordinationsproblem mit dem verbleibenden System der sozialen Sicherung und mit dem übrigen Steuersystem. Da der hohe Grenzentzugssatz von fast 100 %, der bisher beim Arbeitslosengeld II und bei der Sozialhilfe bestand, auf 50 % gesenkt wird, kann man auch für die bisherigen Bezieher dieser Leistungen einen verstärkten Arbeitsanreiz erwarten. Allerdings werden bei den darüber liegenden Einkommensschichten wegen der für sie erhöhten Steuerbelastung die Arbeitsanreize reduziert. Ob die Erwerbsbeteiligung per Saldo sinken oder steigen würde, ist eine offene Frage.
Da die Steuer- und Transferzahlungen eindeutig territorial begrenzt wären, ist nicht zu befürchten, dass die Mindestleistungen in andere EU-Länder exportiert werden müssten. Jedoch ist auch bei einer Negativen Einkommensteuer ein im Vergleich zum Arbeitslosengeld II und zur Sozialhilfe erhöhter Sog für Zuwanderer zu befürchten.
Das Ziel der Sicherung des sozio-kulturellen Existenzminimums für jeden Wohnsitz- bzw. Steuerbürger könnte erreicht werden. Zieleffizienz ist jedoch nicht gegeben, weil auch Personen weit oberhalb des Existenzminimums noch Empfänger von steuerfinanzierten Transfers wären. Dies wird allerdings mit der Erhöhung der Arbeitsanreize gerechtfertigt.
Auch die Einführung der gemäßigten Variante der Negativen Einkommensteuer würde beachtliche Probleme aufwerfen, die neben dem erhöhten Finanzaufwand vor allem durch die Identität zwischen Steuer- und Transfersubjekt und die einheitlichen Kriterien für Transfer- und Steuerbemessung bedingt. sind. Die Schätzungen für den erforderlichen zusätzlichen Finanzaufwand liegen sehr weit auseinander. Eine überschlägige Überlegung kann man leicht anstellen: Wenn man das Existenzminimum bei 50 % des Durchschnittseinkommens ansetzt und auch einen Steuersatz von 50 %, dann liegt der break even point, vom dem ab keine Transfers mehr gezahlt werden und die Steuerzahlung einsetzt, beim Durchschnittseinkommen. Unterhalb des Durchschnittseinkommens liegen aber etwa 60 % der Bevölkerung. Diese 60 % der Bevölkerung würden Transfers erhalten, die von den oberen 40 % finanziert werden müssten[7].
4.4 Das individuelle einkommens- und vermögensabhängige Grundeinkommen
Wie erläutert besteht gegenwärtig ein System des einkommens- und vermögensabhängigen Grundeinkommens für Bedarfsgemeinschaften, die i. d. R. mit der Kernfamilie übereinstimmen. Damit sind auch die familienrechtlich statuierten Unterhaltsverpflichtungen zwischen Ehegatten und gegenüber Kindern vorrangig gegenüber den Sozialleistungen des Staates. Man könnte überlegen, ob man diese gegenseitigen Unterhaltsverpflichtungen ignoriert bzw. sie ihrerseits nachrangig zu einem vom Staat gewährten individuellen einkommens- und vermögensabhängigen Grundeinkommen gestaltet (vgl. Zeile 5 in Übersicht 1). Hierfür gibt es entweder eine Ausgestaltungsform mit einem sehr hohen Anrechnungssatz für das selbst erzielte Einkommen (analog dem Arbeitslosengeld II) und einem niedrigeren Steuersatz oder mit einem niedrigeren einheitlichen Anrechnungs- und Besteuerungssatz (analog einer individualisierte Negative Einkommensteuer), bei der das Individuum Transfer- und Steuersubjekt ist. Diese individualisierte Form einer Grundsicherung muss auch für jedes minderjährige Kind gewährt werden. Dann besteht der Unterschied zu einem universellen und unbedingten Grundeinkommen nur noch darin, dass für jede Person, also auch für jedes Kind, eine Einkommens- und Vermögensüberprüfung vorgenommen werden muss, wenn auch die allermeisten Kinder kein eigenes Einkommen und Vermögen besitzen dürften. Auch bei dieser Konstruktion wird das Existenzminimum für jeden Wohnsitzbürger gewährleistet.
Offensichtlich ist eine Ausgestaltung wie das Arbeitslosengeld II mit einem nahe an 100 % liegenden Anrechnungssatz für zusätzliche Einkommen und Vermögen weit kostengünstiger als eine Ausgestaltung wie eine Negative Einkommensteuer mit einem weit niedrigeren Anrechnungssatz. Beide Formen eines individuellen einkommens- und vermögensabhängigen Grundeinkommens wären jedoch weit teuerer als die korrespondierenden auf die Bedarfsgemeinschaft bezogenen Formen, weil jegliche Unterhaltsverpflichtungen ignoriert werden. Damit würde auch die Forderung nach einer mit geringstmöglichem Mittelaufwand zu gewährleistenden Sicherung des sozio-kulturellen Existenzminimums nicht eingehalten, d. h. es würde keine Zieleffizienz erreicht. Die Probleme der erhöhten Steuerbelastung zur Finanzierung dieser Formen des Grundeinkommens und die Auswirkungen auf das Wirtschaftswachstum wären noch deutlich größer als bei den auf die Bedarfsgemeinschaft bezogenen Formen.
4.5. Kombilohn und Mindestlohn
Nachdem wir nunmehr die verschiedenen möglichen Formen eines das Existenzminimum sichernden Grundeinkommens diskutiert haben, bleibt abschließend die Frage zu klären, in welchem Verhältnis hierzu ein Mindestlohn oder ein Kombilohn stehen würde.
Die Festsetzung eines Mindestlohns kann sich sinnvollerweise nur auf den Bruttostundenlohn beziehen. Ein Mindeststundenlohn wäre grundsätzlich mit allen Formen des Grundeinkommens vereinbar. Beim unbedingten und universellen Grundeinkommen könnte er nur sehr niedrig liegen, um einerseits eine Überversorgung zu vermeiden und andererseits die zusätzliche Belastung der Wirtschaft zu begrenzen. Beim unbedingten und eingeschränkten Grundeinkommen gäbe keine Konflikte, da diese Form des Grundeinkommens nur auf Nicht-Erwerbsfähige ausgerichtet ist. Da die übrigen Formen nachrangig zum Einkommen und Vermögen der Bedarfsgemeinschaft sind, gibt es ebenfalls keine Konflikte. Es bedarf lediglich einer Abstimmung mit den Belastungen der Wirtschaft. Dabei kann man festhalten: Je höher der Mindestlohn und damit die Lohnbelastung der Wirtschaft, desto geringer kann die aufstockende Grundeinkommensleistung und damit die Steuerbelastung zur Finanzierung des Grundeinkommens sein. Es besteht als ein Substitutionsverhältnis.
Bei einem Kombilohn soll eine Aufstockung eines niedrigen Stundenlohnes durch einen Staatszuschuss erfolgen, der mit steigender Lohnhöhe abnimmt und bei einem Grenzwert völlig wegfällt. Wenn dieser Staatszuschuss direkt an das einstellende Unternehmen gewährt wird, besteht kein Vereinbarkeitsproblem mit einer der denkbaren Grundsicherungsformen. Soll der Staatszuschuss jedoch an den Arbeitnehmer gezahlt werden, dann entstehen Probleme.
Mit einem unbedingten und universellen Grundeinkommen ist ein derartiger Zuschuss unvereinbar. Er würde nur die Summe der aufzubringenden Mittel weiter erhöhen.
Mit einem unbedingten und eingeschränkten Grundeinkommen wäre ein solcher Zuschuss vereinbar, da die Personen im Erwerbsfähigkeitsalter kein Grundeinkommen erhalten, so dass auch keine Kumulation erfolgen kann. Auch hierbei entstünde jedoch ein zusätzlicher Mittelaufwand.
Bei den auf eine Bedarfsgemeinschaft ausgerichteten Grundeinkommensformen hängt die Vereinbarkeit von der Ausgestaltung ab. Ein Kombilohn, der für einen Alleinstehenden genau das Existenzminimum sichert, bringt keine Verbesserung, sondern nur einen zusätzlichen Verwaltungsaufwand. Liegt der Kombilohn höher, so erfährt zwar ein Alleinstehender eine Verbesserung, die zusätzliche Mittel kostet, aber bei größeren Bedarfsgemeinschaften läuft ein solcher Kombilohn ins Leere, weil er wieder angerechnet wird. Es gibt also ebenfalls nur erhöhten Verwaltungsaufwand.
Mit dem individuellen einkommens- und vermögensabhängigen Grundeinkommen ist ein Kombilohn vereinbar, falls der Staatszuschuss nicht nur am Arbeitseinkommen orientiert ist, sondern wenn bei der Ermittlung des Staatszuschusses alle Einkommen und das Vermögen einbezogen werden. Das heißt aber, dass diese Form des Kombilohn mit dem individuellen einkommens- und vermögensabhängigen Grundeinkommen identisch ist. Findet allerdings keine vollständige Anrechnung aller Einkommen und Vermögen des Arbeitnehmers statt, dann führt der Kombilohn zu Überversorgung und damit zur Mittelverschwendung zu Gunsten von Arbeitnehmern mit sonstigen Einkommen und Vermögen. Zieleffizienz, d. h. die Forderung nach geringstmöglichem Mitteleinsatz zur Gewährleistung eines sozio-kulturellen Existenzminimums, wird also nicht erreicht; der übermäßige Mitteleinsatz kommt überdies nur den besser situierten Arbeitnehmern zugute.
5. Zusammenfassung
Das unbedingte und universelle Grundeinkommen stellt keine realistische Alternative zur Reform des deutschen Sozialstaats dar. Es erforderte einen nicht aufzubringenden Finanzaufwand, und es hätte eine offene außenwirtschaftliche Flanke. Wegen der Verringerung der Arbeitsanreize und wegen der extrem hohen Steuerlast würde es zu einem Rückgang des Bruttoinlandsprodukts und zu einer Blockade des Wirtschaftswachstums führen. Die Zieleffizienz wäre sehr gering, da ein wesentlicher Teil der Transferzahlungen von den Begünstigten selbst aufgebracht werden müsste.
Das unbedingte eingeschränkte Grundeinkommen stellt nur für Kinder eine Reformmöglichkeit dar, die im Prinzip finanziert werden könnte und die auch mit anderen Regelungen des Systems der sozialen Sicherung vereinbar wäre. Aber auch dieses auf Kinder eingeschränkte, ihr Existenzminimum sichernde Grundeinkommen würde aber noch hohe zusätzliche Mittel erfordern. Es würde auch in Konkurrenz zur Verwendung der verfügbaren Finanzmittel zum Ausbau von Betreuungseinrichtungen und zur Verbesserung des Bildungssystems treten. Die Zieleffizienz wäre aber weitgehend erreicht. Eine Ausweitung auf Alte würde über einen sehr langen Zeitraum zu Konflikten mit der Gesetzlichen Rentenversicherung und mit anderen Alterssicherungswerken führen, da die dadurch entstehende Überversorgung nur sehr langsam abgebaut werden könnte. Die außenwirtschaftliche Flanke wäre ungeschützt. Die Zieleffizienz wäre niedrig.
Eine gemäßigte Negative Einkommensteuer würde ebenfalls einen hohen zusätzlichen Mittelaufwand erfordern, dessen Aufbringung mit einer Beeinträchtigung des Wachstums einherginge. Die Zieleffizienz im Hinblick auf die Sicherung eines Existenzminimums wäre wegen des bis zu mittleren Einkommen reichenden Transferbereichs ebenfalls gering. Zugunsten der Negativen Einkommensteuer spricht vor allem die Reduzierung des Verwaltungsaufwands, da nur eine Behörde, das Finanzamt, die Transferberechtigung feststellen würde. Außerdem würden die Arbeitsanreize für Geringverdiener gestärkt.
Kombilohn oder Mindestlohn lösen das Problem der Existenzminimumsicherung nicht umfassend, da sie auf den einzelnen Arbeitnehmer und nicht auf die Bedarfsgemeinschaft ausgerichtet sind. Nur ein Kombilohn, der als Lohnzuschuss an Unternehmen für die Einstellung von ausgewählten Gruppen von Arbeitslosen gewährt wird, wirft keine Vereinbarkeitsprobleme auf, weil erst nach dessen Auszahlung die einkommens- und vermögensabhängigen Regelungen zur Sicherung des sozio-kulturellen Existenzminimums der gesamten Bedarfsgemeinschaft Anwendung finden, so dass keine unnötige Begünstigung stattfindet und Zieleffizienz erreicht wird.
Letztlich kommen wir damit wieder auf die bestehenden Grundsicherungsregelungen zurück, die zwar in manchen Punkten verbesserungsbedürftig wären, aber jeder der beschriebenen anderen Ausgestaltungsformen eines Grundeinkommens überlegen sind.
Literatur:
Becker, Irene (1998), Vergleich und Bewertung alternativer Grundsicherungskonzepte, Arbeitspapier Nr. 18 des EVS-Projekts Personelle Einkommensverteilung in der Bundesrepublik Deutschland, Universität Frankfurt, Fachbereich Wirtschaftswissenschaften
Bundesagentur für Arbeit Statistik (2005), Grundsicherung für Arbeitsuchende. Entwicklung bis Juli 2005, Nürnberg
Bundesministerium für Gesundheit und Soziale Sicherung (2005), Statistisches Taschenbuch 2005, Bonn
Hauser, Richard (1996), Ziele und Möglichkeiten einer Sozialen Grundsicherung, Baden-Baden
Kaltenborn, Bruno (1998), Von der Sozialhilfe zu einer zukunftsfähigen Grundsicherung, 2. Aufl. Baden-Baden
Mitschke, Joachim (2000), Grundsicherungsmodelle – Ziele, Gestaltung, Wirkungen und Finanzbedarf, Baden-Baden
Statistisches Bundesamt (2005), Statistisches Jahrbuch 2005 für die Bundesrepublik Deutschland, Wiesbaden
Strengmann-Kuhn, Wolfgang (Hrsg.) (2005), Das Prinzip Bürgerversicherung. Die Zukunft im Sozialstaat, Wiesbaden
[«1]Diese Angaben beruhen auf: Bundesagentur für Arbeit, Bericht der Statistik „Grundsicherung für Arbeitssuchende. Entwicklung bis Juli 2005“, Nürnberg, Dezember 2005, sowie Statistisches Bundesamt, Statistisches Jahrbuch 2005 für die Bundesrepublik Deutschland, Wiesbaden 2005.
[«2] Vgl. Becker, Irene/Hauser, Richard, Dunkelziffer der Armut. Ausmaß und Ursachen der Nicht-Inanspruchnahme zustehender Sozialhilfeleistungen, Berlin 2005
[«3]Bundesministerium für Gesundheit und Soziale Sicherung, Statistisches Taschenbuch 2005, Bonn 2005, Tab. 7.2.
[«4]Zur Vereinfachung wird in den Abbildungen immer nur der Fall eines Alleinstehenden, der nur Arbeitseinkommen bezieht, dargestellt. Die Überlegungen lassen sich aber ohne weiteres auf die Bezieher mehrerer Einkommensarten (einschließlich der beitragsfinanzierten Renten) und auf größere Bedarfsgemeinschaften übertragen.
[«5] Im Jahr 2003 gab es in der Bundesrepublik Deutschland insgesamt 82,53 Mio. Einwohner; davon waren 12,16 Mio. unter 15 Jahre alt. Vgl. Statistisches Bundesamt, Statistisches Jahrbuch 2005 für die Bundesrepublik Deutschland, Wiesbaden, Tab. 2.8.
[«6]Bundesministerium für Gesundheit und Soziale Sicherung, Statistisches Taschenbuch 2005, Bonn 2005, Tab. 1.8.
[«7]Zur Negativen Einkommensteuer vgl. Hauser, Richard, Hauser, Richard, Ziele und Möglichkeiten einer Sozialen Grundsicherung, Baden-Baden, 1996 mit weiteren Literaturhinweisen. Genauere Ergebnisse über die finanzielle Belastung kann man nur mit Mikrosimulationsmodellen ermitteln, die die institutionellen Regelungen abbilden und auf der Basis von Einkommensstichproben die verschiedenen Veränderungen bei den einzelnen Haushalten zusammenfassend sichtbar machen. Vgl. Becker, Irene, Vergleich und Bewertung alternativer Grundsicherungskonzepte, Arbeitspapier Nr. 18 des EVS-Projekts Personelle Einkommensverteilung in der Bundesrepublik Deutschland, Universität Frankfurt, Fachbereich Wirtschaftswissenschaften, Frankfurt am Main 1998





